U-shaped Relationship Between Genre Atypicality and Popularity in K-pop Based on Platform Audio Data: The Moderating Effect of Artist Status
1 Chungbuk National University
2 Hoseo University
DOI: https://doi.org/10.17287/kmr.2026.55.1.501
Abstract
As K-pop continues its global expansion, the formulation of data-driven strategic frameworks for digital platforms has become imperative. This study examines the impact of genre atypicality—a primary differentiating factor in K-pop—on global market performance. We hypothesize that this relationship is non-linear and moderated by an artist’s established market position. Utilizing an annual fixed-effects model, the study analyzed approximately 16,000 tracks by Korean artists on Spotify, leveraging objective audio metadata to quantify stylistic deviation. The empirical results reveal a statistically significant U-shaped relationship between genre atypicality and commercial popularity. Specifically, both high genre conformity (low atypicality) and pronounced stylistic innovation (high atypicality) yield greater popularity than intermediate levels of atypicality. Furthermore, this relationship is significantly moderated by market tenure: as an artist’s market presence becomes more established, the positive correlation between high atypicality and popularity intensifies. By applying Optimal Distinctiveness Theory to K-pop’s global branding, this research extends the theory’s reach and offers actionable strategic insights for artists and entertainment agencies regarding positioning across different growth trajectories.
Ⅰ. 서 론
K-팝은 지난 20년간 지역적 현상을 넘어 글로벌 주류 문화의 반열에 오른, 21세기 가장 주목할 만한 문화적 성공 사례 중 하나이다. 이러한 성장의 핵심 동력은 스포티파이(Spotify), 유튜브(YouTube), 틱톡(Tik Tok) 등 글로벌 디지털 플랫폼의 확산이다(Autio et al., 2018; Sinkovics and Sinkovics, 2020). 디지털 기술이 부여한 전례 없는 연결성(digital affordances)은 K-팝 아티스트들이 전통적인 미디어 게이트키퍼를 우회하여 전 세계 소비자와 직접 관계를 형성하고, 막대한 규모의 팬덤을 구축하는 것을 가능하게 했다(Nambisan et al., 2019). 이처럼 K-팝은 단순한 음악 장르를 넘어, 디지털 시대의 문화 생산과 소비, 그리고 글로벌 브랜딩의 패러다임을 보여주는 중요한 연구 대상이 되었다(신형덕, 2022).
그러나 디지털 플랫폼이 제공하는 기회는 동시에 치열한 경쟁이라는 이면을 가진다. 매일 수만 개의 새로운 음원이 쏟아지는 환경은 소비자들이 감당하기 어려운 수준의 정보 과부하(information overload)를 야기한다(Malhotra, 1982; Schwartz, 2004; 이중원&박철, 2022). 이는 현대 시장이 본질적으로 ‘주목 경제(attention economy)’의 논리에 의해 움직인다는 점을 시사한다. 즉, 한정된 소비자의 주목을 끌고 선택받기 위한 아티스트 간의 경쟁은 그 어느 때보다 치열해졌으며, 이러한 환경에서 자신의 존재를 각인시키기 위한 효과적인 시장 신호(market signal) 발신과 차별화 전략은 선택이 아닌 생존의 필수 요건이 되었다(Deephouse, 1999).
이러한 시장 구조 속에서 소비자와 생산자 모두에게 중요한 준거 틀로 작용하는 것이 바로 ‘장르(genre)’이다. 장르는 특정 시장 내에서 생산자들이 공유하는 정체성이자, 소비자들이 제품의 특성을 인지하고 품질을 판단하는 핵심적인 인지적 범주(cognitive category)로 기능한다(Hannan and Freeman, 1977; Zuckerman, 1999). 따라서 특정 장르의 규범과 스타일에 순응하는 것은 생산자에게 시장의 정당성(legitimacy)을 부여하고, 목표 소비층에게 명확한 소속감을 전달하는 가장 기본적인 전략이다(Aldrich and Fiol, 1994; Di Maggio and Powell, 1983). K-팝 역시 고유의 음악적, 시각적 스타일을 통해 정체성을 확립해 왔다.
하지만 모든 플레이어가 동일한 규범에 순응할 경우, 제품 간의 유사성은 높아지고 경쟁은 심화될 수밖에 없다(Porter, 1980). 따라서 시장의 주목을 받고 독창적인 가치를 제안하기 위해서는 기존 규범으로부터의 의도적인 이탈, 즉 차별화가 필수적이다(Navis and Glynn, 2011). 본 연구는 이러한 차별화 시도를 장르 비정형성(Genre Atypicality)으로 개념화하고, 이를 K-팝 아티스트가 글로벌 시장에서 구사하는 핵심적인 포지셔닝 전략으로 간주한다. 장르 비정형성은 한 개체가 범주의 평균 특징에서 벗어나는 정도를 말한다(Rosch and Mervis, 1975). 즉, 특정 음악이 해당 장르(e.g., Pop, Hip-Hop, R&B 등)의 기대되는 전형적인 특성과 얼마나 벗어나 있는가를 측정하는 개념이다. K-팝이라는 확립된 장르의 문법을 충실히 따를 것인가, 아니면 글로벌 팝의 다양한 요소와 결합하여 새로운 사운드를 창조할 것인가의 문제는 모든 K-팝 아티스트가 마주하는 전략적 딜레마이다.
이러한 맥락에서 장르 비정형성은 특정 곡이 속한 장르의 전형적인 특성의 평균에서 얼마나 벗어나 있는지를 수치화한 지표이며, 비정형성은 주목 획득과 혁신성의 신호로 작용한다. 특히, 사람들은 새로운 자극에 대한 욕구를 가지고 있기 때문에(Zuckerman, 1979), 장르 비정형성은 새로움과 같은 평가를 높일 수 있다(Berlyne, 1970). 집단적 차원에서 볼 때, 다른 문화적 항목과 차별화되거나 이례적인 문화적 항목은 더 선호될 수 있으며, 결과적으로 더 인기를 얻게 될 수 있다(Berger and Packard, 2018).
이러한 순응과 차별화의 상충 관계를 설명하는 가장 유력한 이론적 틀은 최적 독창성 이론(Optimal Distinctiveness Theory, ODT)이다(Brewer, 1991; Zhao, 2022). 최적 독창성 이론(ODT)은 조직이나 제품이 시장에서 최적의 성과를 내기 위해, 정당성 확보를 위한 동질성(homogeneity)과 경쟁 우위를 위한 이질성(heterogeneity) 사이의 균형점을 찾아야 한다고 주장한다(Deephouse, 1999; Zhao et al., 2017; Zhao, 2022). 최적 독창성 이론(ODT)은 다양한 산업(e.g., van Angeren et al., 2022)과 기업 전략(e.g., Zhang et al., 2020) 연구에 적용되어 그 설명력을 입증해 왔다. 그러나 기존 연구들은 종종 ‘어느 정도’ 차별화할 것인가의 문제에 대해 선형적인 관계를 가정하거나(Berger and Packard, 2018; Betancourt et al., 2025; Hsu et al., 2009; Kovacs and Hannan, 2015; Sgourev and Althuizen, 2014), 중간 지점의 균형을 최적점으로 간주하는 경향이 있었다(Silver et al., 2022; Askin and Mauskapf, 2017). 제품의 특성에 따라 중간 수준의 모호한 차별화가 오히려 시장의 외면을 받고, 양극단의 명확한 포지셔닝(완전한 순응 혹은 완전한 혁신)이 더 효과적일 수 있다는 비선형적 관계의 가능성은 상대적으로 간과되어 왔다. 최적 독창성 이론(ODT)은 시장에서의 차별화(distinctiveness)와 동질성(conformity) 사이의 관계 속에서 최적의 균형점을 찾는 것이 성과에 중요하다고 보며(Brewer, 1991; Zhao, 2022), 이는 콘텐츠의 ‘비정형성’ 수준이 시장 수용성과 어떻게 연결되는지를 설명할 수 있게 한다. 그러나 최적 독창성 이론(ODT)은 이 신호가 누구에 의해 발신되는가에 따른 수용도 차이를 고려하지 못하고 있다. 이를 보완하기 위해, 신호 이론(Signaling Theory)은 장르 비정형성과 같은 콘텐츠 특성을 시장에 보내는 의도적 신호(intentional signals)로 간주하며, 수용자들이 이를 해석하는 방식이 정보 비대칭성과 신호의 신뢰도에 따라 달라진다고 본다.
더 나아가, 차별화라는 신호의 효과는 신호 이론(Signaling Theory)의 관점에서 볼 때, 신호를 보내는 주체(signaler)의 특성에 따라 크게 달라질 수 있다(Spence, 2002). 비정형성은 종종 참신함의 신호로 인식되는데, 비정형적인 문화 상품은 기존 범주에서 벗어나 이전에는 별개로 여겨졌던 것들을 하나로 모으기 때문이다(Sgourev and Althuizen, 2014; Uzzi et al., 2013; Cudennec and Huynh, 2023). 예를 들어 Berger and Packard(2018)는 음악에서 비정형성이 높을수록 평균적으로 더 높은 성공을 예측한다는 것을 보여준다(Cudennec and Huynh, 2023). 정보 비대칭성이 높은 시장에서 소비자는 제품의 품질을 직접 판단하기 어려울 때, 생산자의 명성이나 시장 지위를 중요한 품질 단서로 활용한다(Kirmani and Rao, 2000; 박지혜&이문한, 2022). 즉, 동일한 수준의 혁신적인 시도라 할지라도, 시장에서 신뢰와 명성을 쌓은 기성 아티스트의 시도는 ‘창의적인 도전’으로 긍정적으로 해석될 수 있는 반면, 신인 아티스트의 시도는 ‘정체성이 불분명한 모험’으로 부정적으로 평가받을 위험이 있다. 이처럼 확립된 시장 지위는 혁신을 시도할 수 있는 일종의 ‘자격’ 혹은 ‘허가(license)’로 작용할 수 있으며(Rao et al., 1999), 이는 최적 독창성 이론(ODT)이 제시하는 균형점이 모든 시장 참여자에게 동일하지 않음을 시사한다.
따라서 본 연구는 K-팝이라는 특정 문화 산업의 글로벌 확장 과정 중 음향 기반 차별화 전략에 초점을 맞추어, 다음과 같은 구체적인 연구 질문을 제기하고 답하고자 한다. 첫째, K-팝의 장르 비정형성은 글로벌 인기도와 어떠한 형태의 관계를 가지는가? 둘째, 장르 비정형성과 인기도의 관계는 단순한 선형 관계를 넘어, U 자형의 비선형적 패턴을 보이는가? 셋째, 이러한 관계는 아티스트의 경력과 팬덤 규모와 같은 시장 지위에 따라 어떠한 차이가 있는가?
본 연구는 K-팝이 활용하는 다차원적 글로벌 확장 전략 중에서도 특히 ‘음향적 장르 비정형성’이라는 단일 요인을 선별적으로 분리하여 그 효과를 정량적으로 검증하는 데 목적을 둔다. K-팝의 다양한 성공 요인 중 음향적 차별화 요소가 글로벌 시장 성과에 어떠한 패턴으로 연결되는가를 실증적으로 규명하는 데 초점을 두고자 한다.
이러한 질문에 답하기 위해, 본 연구는 스포티파이의 대규모 음원 데이터를 활용하여 객관적인 음향 특성을 기반으로 장르 비정형성을 측정하고, 통계 모델을 통해 가설을 검증한다. 본 연구는 ODT 와 신호 이론을 통합하여 K-팝의 글로벌 브랜딩 전략에 대한 이론적 논의를 심화하고, 급변하는 디지털 음악 시장에서 활동하는 아티스트와 엔터테인먼트 기업들에게 데이터 기반의 구체적인 실무적 시사점을 제공하는 것을 목표로 한다. 다음 장에서는 관련 이론을 고찰하고 구체적인 가설을 설정하며, 이후 연구 방법, 분석 결과, 결론 및 논의 순으로 논문을 전개한다.
Ⅱ. 이론적 배경
2.1 장르 비정형성의 U 자형 효과
음악과 같은 경험재(experience goods) 시장에서 소비자는 구매 전 품질을 완전히 파악하기 어렵기 때문에, 제품이 전달하는 다양한 신호에 의존하여 구매를 결정한다(Nelson, 1970). 이 중 ‘장르’는 소비자의 기대를 형성하고 정보 탐색 과정을 단순화하는 가장 핵심적인 범주적 신호(categorical signal)이다(Hsu and Hannan, 2005). 문화 시장에서 장르는 문화적 상품을 서로 상대적으로 위치시켜 예술 영역을 구조화하는 의미 있는 범주로 작용한다(Becker, 1982). 예를 들어 로맨스 영화는 사랑 이야기를 보여줄 것으로 기대되는 반면, 공포 영화는 뛰어내리는 공포 장면을 포함할 것으로 기대한다(Cudennec and Huynh, 2023). 유사한 맥락에서 장르 비정형성은 K-팝 트랙이 글로벌 음악 시장에서 일반적으로 기대되는 장르 규범(프로토타입)으로부터 얼마나 벗어나 있는지를 나타내는 개념이다(Berger and Packard, 2018). 이러한 장르 규범과 개별 제품의 음향적 특성 사이의 관계, 즉 장르 비정형성은 시장의 평가에 복합적인 영향을 미친다. 이는 단순히 장르 분류를 넘어서, 음향적 특성(sound features)의 측면에서 글로벌 기준과의 거리를 정량적으로 계산함으로써(Berger and Packard, 2018), K-팝의 동화(assimilation) 또는 차별화(differentiation) 전략을 도출할 수 있다. 본 연구는 이러한 차별화 시도를 장르 비정형성(Genre Atypicality)으로 개념화하고, 낮은 수준의 장르 비정형성과 높은 수준의 장르 비정형성 그리고 중간 수준의 장르 비정형성으로 구분하고 장르 비정형성 플랫폼 음향 데이터 기반 K-pop 장르 비정형성과 인기도의 U 자형 관계: 아티스트 지위의 조절효과를 중심으로 이 글로벌 인기도에 미치는 영향을 분석하고자 한다.
2.1.1 낮은 비정형성의 이점: 정당성과 인지적 유창성
낮은 수준의 장르 비정형성, 즉 장르 규범에 대한 높은 순응은 시장에서 정당성(legitimacy)을 확보하는 데 결정적이다(Zimmerman and Zeitz, 2002). 특정 장르의 문법을 충실히 따르는 음악은 소비자에게 익숙함과 안정감을 제공하며, 이는 심리학에서 말하는 ‘처리 유창성(processing fluency)’을 높이는 효과를 가져온다(Reber et al., 2004). 문화 상품이 시장을 구성하는 장르의 예상 속성을 따를 때 평가의 불확실성은 줄어들기 때문이다(Di Maggio, 1987). 사람들은 인지적으로 처리하기 쉬운 대상을 더 긍정적으로 평가하는 경향이 있으며(Novemsky et al., 2007), 이는 낮은 비정형성을 가진 음악이 시장의 주류 소비자에게 쉽게 수용될 수 있는 심리적 기반이 된다. 즉, ‘안전한 선택’은 항상 일정한 수준의 시장 수요를 보장받는다. 이를 이해하고 평가하는 것이 인지적 부담을 줄이는 것을 의미하기 때문이다(Hsu et al., 2009).
2.1.2 높은 비정형성의 이점: 주목 획득과 혁신성 신호
반면, 모든 생산자가 규범에만 순응한다면 시장은 차별성 없는 제품들로 가득 차 ‘경쟁의 레드오션’이 된다(Porter, 1980). 이러한 환경에서 소비자의 주목을 끌고 경쟁 우위를 확보하기 위해서는 기존의 틀을 깨는 차별화가 필수적이다(Deephouse, 1999). 특히, 장르 규범에서 크게 벗어난 높은 수준의 비정형성은 ‘혁신성(innovativeness)’과 ‘독창성(originality)’이라는 강력한 신호를 시장에 발신한다(Navis and Glynn, 2011). 최근 연구에서는 비정형성이 새로움을 가져다주며, 따라서 일정 수준까지는 환영받는다는 사실도 밝혀졌다(Berger and Packard, 2018; Silver et al., 2022). 예를 들어 Berger and Packard(2018)는 음악에서 비정형성이 높을수록 평균적으로 더 높은 성공을 예측한다는 것을 보여준다(Cudennec and Huynh, 2023). 이는 새로움을 적극적으로 탐색하고 높은 수준의 자극을 추구하는 소비자의 욕구를 충족시키며(Steenkamp and Burgess, 2002), 이들을 중심으로 강력한 초기 팬덤을 형성하거나 비평가들의 호의적인 평가를 이끌어낼 수 있기 때문이다. 따라서 청중은 비정형성을 긍정적으로 인식할 수도 있을 것이다(Cudennec and Huynh, 2023).
2.1.3 중간 수준 비정형성의 불이익: 범주 소속의 모호성과 평가절하
문제는 양극단의 중간에 위치한 ‘어중간한(moderate)’ 수준의 비정형성이다. 범주 이론(categorization theory)에 따르면, 소비자는 제품을 특정 범주에 명확하게 귀속시키지 못할 때 인지적 혼란을 겪는다(Mandler, 1982; Zhao, 2022). 중간 수준의 비정형성을 가진 음악은 기존 장르 팬들에게는 ‘이질적’으로 느껴져 외면받고, 혁신을 추구하는 소비자에게는 ‘충분히 새롭지 않아’ 매력을 끌지 못하는 ‘양쪽 시장에서의 실패’를 경험할 가능성이 높다. 사회학에서 이러한 현상은 ‘범주 할인(categorical discount)’ 또는 ‘정체성 불이익(illegitimacy discount)’으로 설명되며, 명확한 범주에 속하지 않는 존재는 시장 참여자들로부터 평가가 보류되거나 의도적으로 가치가 절하된다(Zuckerman, 1999; Hsu, 2006). 따라서, 낮은 비정형성과 높은 비정형성은 각각 ‘안정성’과 ‘혁신성’이라는 명확한 이점을 제공하는 반면, 중간 수준의 비정형성은 포지셔닝의 모호함으로 인해 시장에서 불이익을 받을 것이다.
이와 같이 비정형성은 다양한 산업과 소비 맥락에서 차별적 성과 효과를 보여왔다. 따라서 비정형성의 성과 효과는 특정 산업 맥락과 소비자 평가 기준에 따라 상이할 수 있다. 위험 부담이 존재하는 맥락에서는 높은 비정형성이 실패 위험을 높일 수 있으나(Wei et al., 2022), 감각적 보상과 창의적 자극을 중시하는 경험재 시장에서는 높은 비정형성이 긍정적 반응으로 이어질 수 있다. 본 연구는 후자의 맥락에 해당하는 K-팝의 음향적 창의성을 다루고자 한다. 이러한 논리에 근거하여 다음과 같은 가설을 설정한다.
가설 1: 장르 비정형성과 트랙 인기도는 U 자형(U-shaped) 관계를 가질 것이다. 즉, 비정형성이 매우 낮거나 매우 높은 트랙이 중간 수준의 비정형성을 가진 트랙보다 더 높은 인기도를 얻을 것이다.
2.2 신호 해석의 상황 의존성: 아티스트 시장 지위의 조절 효과
신호 이론의 핵심 전제 중 하나는 신호의 가치와 해석이 진공 상태에서 결정되지 않는다는 것이다. 동일한 신호라 할지라도, 그 신호를 보내는 주체(signaler)의 명성, 신뢰도, 그리고 시장 내 지위(status)에 따라 그 효과는 극적으로 달라진다(Connelly et al., 2025). 시장 지위는 그 자체로 과거의 성과와 품질에 대한 누적된 정보를 담고 있는 강력한 ‘메타 신호(meta-signal)’로서, 다른 모든 신호를 해석하는 렌즈 역할을 한다(Podolny, 1993; Merton, 1968). 특히, ‘장르 비정형성’과 같이 해석의 불확실성이 높은 신호의 경우, 아티스트의 시장 지위는 소비자의 위험 인식을 줄이고 신호의 신뢰도를 보증하는 결정적인 조절 변수로 작용할 것이다(Erdem and Swait, 1998).
신인이나 인지도가 낮은 아티스트는 아직 시장에서 자신의 품질과 정체성을 입증하지 못한 상태이다. 이들에게는 장르 규범을 따르는 것이 자신의 역량을 증명하고 최소한의 정당성을 확보하는 중요한 과정이다(Zimmerman and Zeitz, 2002). 이들이 보내는 높은 비정형성의 신호는 ‘의도된 혁신’이 아닌 ‘역량 부족으로 인한 실수’나 ‘방향성 상실’로 오인될 위험이 크다. 반면, 오랜 경력과 거대 팬덤을 통해 이미 높은 시장 지위를 확보한 아티스트는 다르다(박아영&서선희, 2021). 이들의 명성은 소비자에게 일종의 ‘품질 보증서’와 같다. 따라서 이들이 시도하는 과감한 음악적 실험은 실패의 위험이 낮은, 신뢰할 수 있는 ‘창의적 도전’으로 인식된다. 즉, 이들은 과거의 성공을 통해 규범으로부터 자유롭게 이탈할 수 있는 ‘혁신을 위한 사회적 허가’를 획득한 것이다(Rao et al., 1999).
본 연구는 이러한 아티스트의 시장 지위를 경력과 팬덤 규모라는 두 가지 구체적인 변수를 통해 측정하고, 이들이 장르 비정형성의 효과를 어떻게 조절하는지 분석한다. 첫째, 아티스트의 경력은 시장에서의 생존 능력과 축적된 평판 자본을 반영한다. 오랜 경력은 그 자체로 지속적인 성공과 음악적 역량을 입증하는 강력한 신호이다. 따라서 경력이 긴 아티스트일수록, 높은 수준의 비정형성이 시장에서 긍정적인 평가를 받을 가능성이 높아진다.
가설 2a: 아티스트의 경력이 길수록, 높은 수준의 장르 비정형성이 인기도에 미치는 효과는 더 강하게 나타날 것이다.
둘째, 팔로워 수로 측정되는 팬덤 규모는 아티스트의 현재 시장 지배력과 충성도 높은 사회적 자본의 크기를 의미한다(Bourdieu, 1986). 거대 팬덤은 혁신적인 시도가 실패할 경우의 위험을 흡수하는 ‘완충 지대(buffer zone)’ 역할을 하며, 새로운 음악에 대한 초기 수요를 보장한다(Colombo et al., 2015). 또한, 충성도 높은 팬들은 아티스트와의 강한 정체성 연결을 바탕으로 그의 새로운 도전을 지지하고, 긍정적인 구전 효과를 창출하여 대중적 성공의 기반을 마련한다(Harmeling et al., 2017).
가설 2b: 아티스트의 팬덤 규모가 클수록, 높은 수준의 장르 비정형성이 인기도에 미치는 효과는 더 강하게 나타날 것이다.
Ⅲ. 연구방법
3.1 데이터 및 표본 (Data and Sample)
본 연구의 가설을 검증하기 위해, 세계 최대 음원 스트리밍 서비스인 스포티파이(Spotify)가 개발자에게 제공하는 API(Application Programming Interface)를 활용하여 데이터를 수집했다. 연구의 대상은 K-팝의 글로벌 시장 성과이므로, 스포티파이의 ‘K-Pop’ 장르 카테고리에 포함되거나, 아티스트의 주 활동 국가가 대한민국으로 명시된 한국 아티스트의 트랙으로 한정했다. 데이터는 2000년부터 2024년까지 발매된 트랙을 대상으로 수집되었으며, 이 기간은 K-팝이 글로벌 장르로 성장하고 디지털 플랫폼이 음악 산업의 핵심으로 부상한 시기와 일치한다.
데이터의 정제 과정을 거쳐, 분석에 필요한 주요 변수(음향 특성, 아티스트 정보, 발매 연도 등)가 누락된 관측치는 제외했다. 또한, 리믹스, 인스트루멘털(instrumental), 스킷(skit) 트랙 등 일반적인 상업 음원과 성격이 다른 트랙들은 분석의 일관성을 위해 표본에서 제거하였다. 이러한 정제 과정을 통해 최종적으로 총 16,272개의 트랙 관측치(track observations)를 분석 표본으로 확정했다.
3.2 변수 측정
3.2.1 종속 변수
트랙의 글로벌 시장 성과를 측정하기 위해 스포티파이에서 제공하는 인기도 점수(popularity score)를 종속 변수로 사용했다. 이 점수는 0점에서 100점 사이의 값을 가지며, 해당 트랙의 전체 재생 횟수와 최근 재생 횟수를 복합적으로 고려하는 알고리즘에 의해 산출되는 상대적 인기 지표이다. 전 세계 스포티파이 사용자의 청취 패턴이 반영되므로, K-팝의 글로벌 인기도를 측정하는 데 적합한 대리 변수이다. 분포의 왜도(skewness)를 완화하고 회귀분석의 가정을 충족시키기 위해, 인기도 점수에 1을 더한 후 자연로그를 취한 $\log(\text{popularity} + 1)$ 값을 분석에 사용했다.
3.2.2 독립 변수
본 연구의 핵심 독립 변수인 장르 비정형성은 K-팝 트랙이 글로벌 음악 시장의 보편적인 장르 규범으로부터 음향적으로 얼마나 벗어나 있는지를 측정하는 지표이다. 이는 K-팝의 사운드가 글로벌 스탠다드에 동화되는(assimilation) 전략과 고유의 특성을 유지하며 차별화하는(differentiation) 전략 중 어디에 위치하는지를 객관적으로 보여준다. 측정을 위해 다음과 같은 2단계 접근법을 사용했다. 구체적으로 장르 평균으로부터 각 곡이 얼마나 벗어났는지를 통해 가사의 비정형성을 계산한 Berger and Packard(2018)의 연구를 참조하여 정량적으로 측정하였다. 구체적으로 Berger and Packard(2018)의 연구와 유사한 논리 구조를 유지하되 가사 정보 대신 스포티파이의 음향적 속성을 활용하여 장르 평균 프로토타입과의 거리를 산출하였다.
첫째, 글로벌 장르 프로토타입(Global Genre Prototype)을 구축하였다. 본격적인 분석에 앞서, 전 세계 음악을 포괄하는 총 2,090,050개의 트랙으로 구성된 대규모 글로벌 데이터셋을 활용하여 글로벌 수준의 장르별 기준점을 설정했다. 스포티파이에 존재하는 주요 장르(e.g., Pop, Hip-Hop, R&B, Rock, Electronic 등) 각각에 대해, 해당 장르에 속한 모든 글로벌 트랙들의 9가지 음향 특성(e.g., danceability, energy, loudness, speechiness, acousticness, instrumentalness, liveness, valence, and tempo)의 평균값을 계산했다. 이를 통해 각 장르의 평균적인 음향 특성을 나타내는 ‘글로벌 장르 프로토타입 벡터’를 구축했다.
둘째, K-팝 트랙의 비정형성 점수를 계산하였다. 본 연구의 분석 대상인 16,272개의 K-팝 트랙 각각에 대해, 해당 트랙에 부여된 장르 태그를 기준으로 1단계에서 구축한 글로벌 장르 프로토타입과의 거리를 계산했다. 예를 들어, 특정 K-팝 트랙이 ‘Pop’으로 분류되었다면, 이 트랙의 음향 특성 벡터와 ‘글로벌 팝 프로토타입 벡터’ 간의 유클리드 거리(Euclidean distance)를 산출했다. 이 거리가 클수록 해당 K-팝 트랙이 글로벌 팝의 정형성에서 더 많이 벗어나 있음을, 즉 장르 비정형성이 높음을 의미한다. 이 값을 표준화(standardization)하여 최종 독립 변수로 사용했다.
3.2.3 조절 변수
가설 2에서 제시된 아티스트의 시장 지위는 경력과 팬덤 규모의 두 가지 변수로 측정했다. 첫째, 아티스트 경력은 해당 트랙의 발매 연도에서 아티스트가 스포티파이에 첫 트랙을 발매한 연도를 빼서 계산했다. 이는 시장에서의 활동 기간과 축적된 명성을 나타낸다. 이 값 역시 로그 변환하여 분석에 투입했다.
둘째, 팬덤 규모는 아티스트의 스포티파이 팔로워 수를 팬덤의 규모와 영향력을 나타내는 대리 변수로 사용했다. 팔로워 수는 아티스트에 대한 충성도 높은 지지층의 크기를 반영한다. 마찬가지로 로그 변환된 값을 사용했다.
3.2.4 통제 변수
트랙의 인기도에 영향을 미칠 수 있는 다른 외생 변수들의 효과를 통제하기 위해 다음과 같은 변수들을 분석 모형에 포함했다. 트랙 수준 통제는 개별 음향 특성(danceability, energy 등 9개 변수), 곡의 조성(key), 장단조(mode) 등을 통제 변수로 사용하였다. 그리고 아티스트 수준 통제는 트랙에 참여한 아티스트 수, 트랙에 부여된 장르 태그 수 등을 통제 변수로 사용하였다.
3.3 분석 모형
본 연구의 가설을 검증하기 위해 다중회귀분석을 실시했다. 시간에 따른 거시적 환경 변화나 음악 시장의 전반적인 트렌드 등 관찰되지 않는 요인들이 인기도에 미치는 영향을 통제하기 위해, 모든 분석 모형에 연도 고정효과(Year Fixed-Effects)를 포함했다. 이는 특정 연도에 발매된 모든 트랙에 공통으로 작용하는 효과를 제거하여, 보다 엄밀하게 변수 간의 관계를 추정할 수 있게 한다. 또한, 통계적 추론의 강건성(robustness)을 확보하기 위해 표준 오차는 연도(year)를 기준으로 클러스터링했다.
가설 1(U 자형 관계) 검증은 종속 변수인 인기도에 대해 독립 변수인 장르 비정형성의 선형항과 제곱항을 동시에 투입하는 2차 다항식 회귀 모형을 사용했다. 제곱항의 회귀계수가 통계적으로 유의미한 양(+)의 값을 가질 경우, U 자형 관계가 존재한다는 가설 1이 지지된다.
가설 2 (조절 효과) 검증은 가설 1의 모형에 장르 비정형성 선형항과 조절 변수(아티스트 경력, 팬덤 규모) 간의 상호작용항을 추가하여 분석했다. 상호작용항의 회귀계수가 통계적으로 유의미한 양(+)의 값을 보일 경우, 해당 조절 변수가 장르 비정형성의 효과를 강화시킨다는 가설 2가 지지된다.
모든 분석은 통계 분석 소프트웨어 R 과 고차원 고정효과 모델 분석에 효율적인 fixest 패키지를 활용하여 수행되었다.
또한, 장르 비정형성의 U 자형 효과와 아티스트 지위의 조절 효과가 데이터 내의 극단치에 의해 왜곡되었을 가능성을 배제하기 위해 강건성 검증을 실시하였다. 이를 위해 독립 변수인 장르 비정형성 변수에 대하여 상·하위 1% 타일에서 윈저라이징(Winsorizing)을 적용하였다. 윈저라이징을 통해 보다 강건하게 가설을 검증하였다.
Ⅳ. 연구결과
본 장에서는 수집된 데이터를 바탕으로 설정된 가설을 검증하기 위한 통계 분석 결과를 제시한다. 먼저 주요 변수들의 기술통계와 상관관계를 살펴보고, 다중공선성 진단을 통해 모델의 안정성을 확인한 후, 가설 검증을 위한 다중회귀분석을 수행하였다.
본 연구에 사용된 주요 변수들의 기술통계량(평균, 표준편차)과 피어슨(Pearson) 상관관계 분석 결과는
Table 2 기초통계량
| Mean | SD | Min | Max | |
|---|---|---|---|---|
| Track Popularity (log) | 2.84 | 1.26 | 0.00 | 4.39 |
| Genre Atypicality(std.) | -0.03 | 0.96 | -1.31 | 5.02 |
| Career (Log) | 2.13 | 1.18 | 0.00 | 4.32 |
| Fandom (Log) | 13.35 | 1.98 | 4.19 | 18.18 |
| Genres per Track (log) | 0.92 | 0.26 | 0.69 | 1.95 |
| Artists per Track (log) | 0.76 | 0.19 | 0.69 | 3.93 |
| Danceability | 0.63 | 0.14 | 0.09 | 0.96 |
| Energy | 0.69 | 0.21 | 0.00 | 1.00 |
| Key | 5.31 | 3.56 | 0.00 | 11.00 |
| Loudness | -5.51 | 3.14 | -32.78 | 0.11 |
| Mode | 0.62 | 0.49 | 0.00 | 1.00 |
| Speechiness | 0.08 | 0.08 | 0.02 | 0.90 |
| Instrumentalness | 0.03 | 0.16 | 0.00 | 0.98 |
| Liveness | 0.19 | 0.15 | 0.01 | 0.98 |
| Tempo | 119.80 | 27.59 | 43.22 | 229.83 |
Table 3 상관관계 분석
| 1 | 2 | 3 | 4 | 5 | 6 | 7 | 8 | 9 | 10 | 11 | 12 | 13 | 14 | 15 | |
|---|---|---|---|---|---|---|---|---|---|---|---|---|---|---|---|
| 1. Log Popularity | 1 | . | . | . | . | . | . | . | . | . | . | . | . | . | . |
| 2. Genre Atypicality | -.03* | 1 | . | . | . | . | . | . | . | . | . | . | . | . | . |
| 3. Career (Log) | .02 | .04*** | 1 | . | . | . | . | . | . | . | . | . | . | . | . |
| 4. Fandom (Log) | .31 | -.01 | -.12 | 1 | . | . | . | . | . | . | . | . | . | . | . |
| 5. Num. Genres (Log) | -.06 | .06 | .16 | -.18 | 1 | . | . | . | . | . | . | . | . | . | . |
| 6. Num. Artists (Log) | .06 | .02 | .15 | -.06 | .15 | 1 | . | . | . | . | . | . | . | . | . |
| 7. Danceability | .11 | -.38 | -.17 | .19 | -.08 | .12 | 1 | . | . | . | . | . | . | . | . |
| 8. Energy | .08 | -.12 | -.32 | .20 | -.06 | .05 | .39*** | 1 | . | . | . | . | . | . | . |
| 9. Key | .01 | -.01 | -.02 | -.02 | .02 | .02+ | .04* | .03 | 1 | . | . | . | . | . | . |
| 10. Loudness | .11 | -.08 | -.27 | .22 | -.03 | .01 | .31 | .78*** | .02 | 1 | . | . | . | . | . |
| 11. Mode | -.02 | .05 | .07 | -.06 | .02 | -.02 | -.14 | -.19 | -.15 | -.12*** | 1 | . | . | . | . |
| 12. Speechiness | .06 | .17 | -.09 | .10 | .03 | .22 | .16 | .28 | .03 | .14 | -.11*** | 1 | . | . | . |
| 13. Instrumentalness | -.06 | .03 | .09 | -.10 | -.02 | -.04 | -.19 | -.28 | -.00 | -.53 | .02 | -.06** | 1 | . | . |
| 14. Liveness | -.05 | .00 | -.08 | -.01 | -.00 | .01 | -.04 | .17 | -.00 | .08 | -.03 | .09 | -.04 | 1 | . |
| 15. Tempo | -.01 | .21 | -.05 | .04 | -.03 | -.03 | -.18 | .11 | -.00 | .11 | .00 | .07* | -.03 | -.00 | 1 |
주: N = 16,272. p < 0.001, p < 0.01, p < 0.05.
회귀분석 실시 전, 독립 변수들 간의 다중공선성(multicollinearity) 문제를 확인하기 위해 분산팽창계수(VIF, Variance Inflation Factor)를 점검했다. 분석 결과, 모든 변수의 VIF 값이 일반적인 판단 기준인 10을 초과하지 않는 것으로 나타났다.
일부 음향 특성 변수들 간에 다소 높은 상관관계가 존재했으나, 모델의 안정성을 심각하게 저해하는 수준은 아닌 것으로 판단되어 모든 변수를 분석에 포함하였다.
가설 검증을 위해 실시한 연도 고정효과 회귀분석의 결과는 〈Table 4〉
Table 4 장르 비정형성이 트랙 인기도에 미치는 영향(Full Specification)
| Model 1 | Model 2 | Model 3 | Winsor Model | |
|---|---|---|---|---|
| Genre Atypicality | -0.007 | -0.031 | -0.031 | |
| (0.019) | (0.025) | (0.024) | ||
| Genre Atypicality^2 | 0.024 | 0.023 | ||
| (0.012) | (0.011) | |||
| Genre Atypicality (Winsor) | -0.029 | |||
| (0.024) | ||||
| Genre Atypicality^2 (Winsor) | 0.021 | |||
| (0.013) | ||||
| Artist Career (Log) | 0.071 | 0.070 | 0.086 | 0.087 |
| (0.041) | (0.041) | (0.042) | (0.042) | |
| Fandom Size (Log) | 0.146 | 0.147 | 0.159 | 0.161 |
| (0.025) | (0.025) | (0.025) | (0.025) | |
| Atypicality $\times$ Career | 0.052** | |||
| (0.019) | ||||
| Atypicality^2 $\times$ Career | -0.016 | |||
| (0.009) | ||||
| Atypicality $\times$ Fandom | 0.019 | |||
| (0.010) | ||||
| Atypicality^2 $\times$ Fandom | -0.012* | |||
| (0.005) | ||||
| Atypicality (W) $\times$ Career | 0.053** | |||
| (0.019) | ||||
| Atypicality^2 (W) $\times$ Career | -0.018 | |||
| (0.010) | ||||
| Atypicality (W) $\times$ Fandom | 0.020 | |||
| (0.010) | ||||
| Atypicality^2 (W) $\times$ Fandom | -0.014* | |||
| (0.006) | ||||
| Num. Genres (log) | -0.114 | -0.113 | -0.111 | -0.111 |
| (0.223) | (0.222) | (0.220) | (0.220) | |
| Num. Artists (log) | 0.355 | 0.354 | 0.348 | 0.349 |
| (0.114) | (0.113) | (0.114) | (0.114) | |
| Danceability | 0.354 | 0.339 | 0.337 | 0.337 |
| (0.283) | (0.283) | (0.281) | (0.281) | |
| Energy | 0.096 | 0.095 | 0.069 | 0.068 |
| (0.217) | (0.217) | (0.217) | (0.217) | |
| Key | 0.004 | 0.004 | 0.004 | 0.004 |
| (0.003) | (0.003) | (0.003) | (0.003) | |
| Loudness | 0.007 | 0.006 | 0.008 | 0.008 |
| (0.011) | (0.011) | (0.011) | (0.011) | |
| Mode | 0.033 | 0.033 | 0.034 | 0.034 |
| (0.035) | (0.035) | (0.035) | (0.035) | |
| Speechiness | 0.031 | 0.033 | 0.048 | 0.049 |
| (0.394) | (0.393) | (0.393) | (0.393) | |
| Instrumentalness | -0.102 | -0.107 | -0.123 | -0.123 |
| (0.179) | (0.180) | (0.178) | (0.178) | |
| Liveness | -0.358 | -0.358 | -0.346 | -0.347 |
| (0.157) | (0.157) | (0.149) | (0.149) | |
| Tempo | -0.001 | -0.001 | -0.001 | -0.001 |
| (0.001) | (0.001) | (0.001) | (0.001) | |
| R^2 | 0.137 | 0.138 | 0.140 | 0.140 |
| R^2 Adj. | 0.135 | 0.136 | 0.137 | 0.137 |
주: 괄호 안의 수치는 연도 기준 클러스터 강건 표준오차(Cluster-robust S.E.)이다. p < 0.001, p < 0.01, p < 0.05
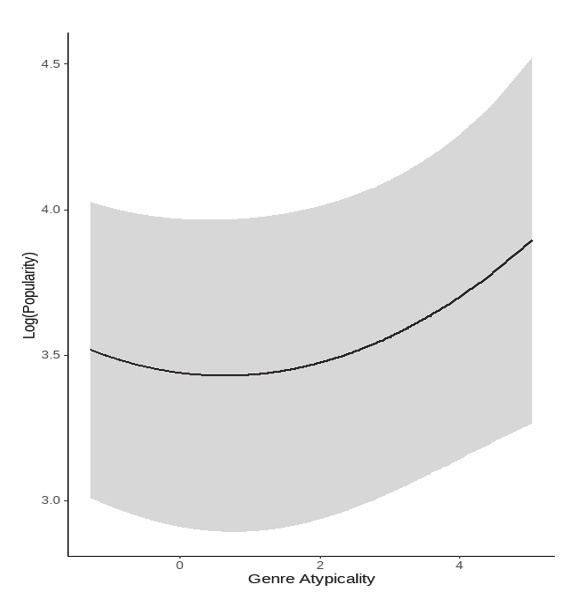
가설 검증 결과는 다음과 같다. 모델 2에서 독립변수인 장르 비정형성의 제곱항이 통계적으로 유의미한 정(+)의 관계($\beta = 0.024, p < 0.05$)를 나타냄으로써 가설 1이 지지되었다. 이러한 수치적 결과는 시각화된 Figure 2
다음으로 모델 3에서 아티스트 경력의 조절 효과를 검증한 가설 2a 역시 통계적으로 유의미한 결과($\beta = 0.052, p < 0.01$)를 보이며 지지되었다. Figure 3
반면 모델 3에서 팬덤 규모의 조절 효과를 상정한 가설 2b 는 방향성은 정(+)의 관계를 보였으나 통계적 유의성을 확보하지 못해 기각되었다($\beta=0.019, p>0.05$). 흥미로운 점은 장르 비정형성의 제곱항과 팬덤 규모 간의 상호작용 효과($\beta=-0.012, p<0.05$)가 모델 3과 강건성 검증 모델 모두에서 유의미한 부(-)의 계수를 나타냈다는 사실이다. 이는 팬덤 규모가 커질수록 비정형성과 인기도 사이의 U 자형 곡률이 완만해지는 패턴을 보임을 의미한다.
마지막으로 윈저라이징을 적용한 강건성 검증 모델(Winsor model)을 통해 분석 결과의 안정성을 검토하였다. 윈저라이징 처리 시 비정형성 제곱항 자체의 유의성은 다소 낮아졌으나 아티스트 경력과 비정형성 간의 상호작용 효과($\beta=0.053, p<0.01$) 및 비정형성 제곱항과 팬덤 간의 부(-)의 조절 효과는 모델 3과 동일하게 유의수준을 유지하였다. 이는 K-팝 시장에서 음향적 실험의 성과가 단순히 곡의 특성만으로 결정되는 것이 아니라 아티스트의 누적 경력 및 팬덤의 성격과 결합될 때 다차원적으로 발현된다는 점을 뒷받침한다. 이상의 결과들을 종합할 때 K-팝 엔터테인먼트 기업은 아티스트의 시장 지위에 기반하여 순응과 혁신 사이의 전략적 위치를 정교하게 설계해야 함을 시사하며, 제품의 속성과 생산자의 시장 지위가 복합적으로 상호작용하는, 미묘하고 역동적인 과정임을 명확히 보여준다.
첫째, 장르 비정형성과 인기도 간의 U 자형 관계는 문화 시장에서 ‘어중간함에 대한 불이익(penalty for moderation)’이 실재함을 강력하게 시사한다. 이는 범주에 대한 소속감이 소비자의 평가에 결정적인 영향을 미친다는 사회학적 연구들과 맥을 같이한다(Zuckerman, 1999; Hsu and Hannan, 2005). 낮은 비정형성, 즉 ‘글로벌 장르 문법에 대한 순응’은 K-팝 트랙이 보편적인 ‘팝’ 또는 ‘힙합’으로서 소비자에게 명확하게 인식되게 한다. 이는 소비자의 인지적 처리 노력을 감소시켜 처리 유창성(processing fluency)을 높이고, 결과적으로 긍정적인 평가를 유도하는 안전한 경로이다(Reber et al., 2004). 반면, 높은 비정형성, 즉 ‘K-팝 고유성을 통한 차별화’는 기존 시장에 없던 새로움과 독창성을 강력히 신호함으로써, 혁신을 추구하는 특정 소비자층의 열광적인 지지를 이끌어내는 고위험-고수익 경로이다(Navis and Glynn, 2011). 결국, 시장은 ‘훌륭한 모범생’이거나 ‘매력적인 이단아’에게는 보상을 하지만, 정체성이 모호한 ‘어중간한 전학생’에게는 가장 냉정한 평가를 내리는 것이다.
둘째, 아티스트의 시장 지위에 따른 조절 효과는 혁신이 진공상태에서 평가받지 않음을 보여준다. 즉 혁신적인 시도는 그 시도가 얼마나 뛰어난가 만으로 평가되지 않고, 그것을 누가 했는지에 따라 다르게 해석된다고 볼 수 있다. 높은 경력을 가진 아티스트의 혁신적 시도가 더 큰 보상을 받는다는 결과는, 시장 지위가 혁신을 정당화하고 그 가치를 보증하는 강력한 ‘메타 신호(meta-signal)’로 작용함을 의미한다(Podolny, 1993). 이는 과학계에서 저명한 학자의 연구가 더 많은 주목을 받는 현상을 설명하는
Ⅴ. 결론 및 시사점
본 연구는 K-팝이라는 특정 문화 산업의 글로벌 확장 과정에서 나타나는 다양한 성공 요인 중에서도, 음향 기반 장르 비정형성이 시장 성과와 어떻게 연결되는지를 분리하여 정량적으로 규명하고자 하였다. 연구 결과는 차별화 전략의 효과가 단순하지 않으며 ‘매튜 효과(Matthew Effect)’와 유사하다 (Merton, 1968). 즉, 높은 커리어를 가지고 있는 아티스트는 더 많은 ‘주목 자본(attentional capital)’과 ‘평판 자본(reputational capital)’을 보유하고 있으며, 이는 그들의 실험적인 음악이 대중에게 도달하고 긍정적으로 해석될 더 많은 기회를 제공한다.
한편 팬덤 규모는 상호작용항이 양(+)의 방향이긴 했으나, p-value 가 유의수준을 충족하지 못했기 때문에 기각되었다. 본 연구에서 팬덤은 Spotify 팔로워 수(log 변환)로 측정되었는데, 이는 팬의 질적 충성도보다는 양적인 규모만을 반영한다. 따라서 “혁신적 시도를 수용해 주는 팬의 관용도”를 설명하기에는 한계가 있었던 것으로 판단된다. 반면, 아티스트 커리어는 아티스트의 음악적 실력과 브랜드 신뢰를 간접적으로 반영하는 지표로, 시장 전체에 신뢰감을 주는 효과가 더 분명히 작용했을 가능성이 커 이러한 결과가 도출된 것으로 판단된다. 또한 K-pop 산업에서는 신인조차 초기 기획 단계부터 팬덤을 확보하며 데뷔하는 경우가 많기 때문에, 팬덤 규모가 반드시 실험적 시도에 대한 수용성과 정비례하지 않을 수 있다. 즉, 팬덤은 음악 스타일보다는 아티스트에 대한 정체성 연대나 비주얼, 퍼포먼스 중심의 지지일 가능성이 있어, 음향적 비정형성과의 연계성이 약할 수 있다.
한편, 흥미로운 점은 장르 비정형성의 제곱항과 팬덤 규모 간의 상호작용 효과가 모델 3과 강건성 검증 모델 모두에서 유의미한 부(-)의 계수를 나타냈다는 사실이다. 이는 팬덤 규모가 커질수록 장르 비정형성이 인기도에 미치는 U 자형의 긍정적 효과가 오히려 약화되거나 완화될 수 있음을 시사한다. 대규모 팬덤을 보유한 아티스트의 경우 팬들이 기대하는 특유의 정체성이 견고하게 형성되어 있어 극단적인 장르적 이탈이 인기도 상승에 기여하는 폭이 줄어드는 팬덤의 보수적 압력이 작용하는 것으로 해석된다.
5.1 연구결과 요약
본 연구는 K-팝이라는 특정 문화 산업의 글로벌 확장 과정에서 나타나는 다양한 성공 요인 중에서도, 음향 기반 장르 비정형성이 시장 성과와 어떻게 연결되는지를 분리하여 정량적으로 규명하고자 하였다. 연구 결과는 차별화 전략의 효과가 단순하지 않으며 ‘매튜 효과(Matthew Effect)’와 유사하다 (Merton, 1968). 즉, 높은 커리어를 가지고 있는 아티스트는 더 많은 ‘주목 자본(attentional capital)’과 ‘평판 자본(reputational capital)’을 보유하고 있으며, 이는 그들의 실험적인 음악이 대중에게 도달하고 긍정적으로 해석될 더 많은 기회를 제공한다.
5.2 이론적 시사점
본 연구는 첫째, 최적 독창성 이론(Optimal Distinctiveness Theory)과 신호 이론(Signaling Theory)을 통합하여, K-팝의 음향적 차별화 전략이 시장 성과에 어떠한 비선형적 패턴으로 연결되는지 실증적으로 제시하였다. 최적 독창성 이론(ODT)이 제시하는 순응과 차별화의 균형이 단일 최적점이 아닐 수 있으며, 오히려 양극단에서 보상이 극대화되는 U 자형 관계가 존재할 수 있음을 실증적으로 규명했다. 이는 시장의 구조와 제품의 특성에 따라 최적 독창성의 패턴이 달라질 수 있음을 시사하며, 최적 독창성 이론(ODT) 연구에 중요한 이론적 뉘앙스를 더한다(van Angeren et al., 2022). 또한, 신호 이론 및 지위 이론을 최적 독창성 이론(ODT)에 통합함으로써, 최적의 포지셔닝 전략이 모든 시장 참여자에게 동일하지 않고 행위자의 누적된 시장 지위에 따라 달라지는 ‘상황적 최적 독창성(contingent optimal distinctiveness)’ 모델의 필요성을 제기한다(Zhao et al., 2017).
둘째, K-컬처 및 국제 마케팅 연구에 대한 방법론적 기여를 한다. 본 연구는 ‘문화적 혼종성’이나 ‘글로컬라이제이션(glocalization)’과 같은 추상적 개념을, 객관적인 음향 데이터에 기반한 ‘장르 비정형성’이라는 측정 가능한 변수로 조작화했다. 이를 통해 문화 상품의 글로벌화 전략과 시장 성과 간의 관계를 대규모 데이터로 분석하는 실증적이고 재현 가능한 연구의 길을 열었다. 이는 기존의 사례 연구나 질적 연구 중심의 한류 연구를 보완하고, 향후 다양한 문화 콘텐츠의 글로벌 확산 과정을 분석하는 데 기여할 수 있다. 적용될 수 있는 미시적 토대(micro-foundation)를 제공한다(Steenkamp, 2019).
셋째, 팬덤의 조절효과가 유의하지 않다는 결과는, 신호 해석에 있어 ‘사회적 자본’보다 ‘평판 자본’의 역할이 더 핵심적임을 시사한다. 즉, 동일한 콘텐츠라 하더라도 소비자는 아티스트의 경력과 같은 누적된 신뢰 신호에는 더 민감하게 반응하지만, 팬덤의 크기와 같은 외부 지지 기반만으로는 콘텐츠의 품질이나 혁신성을 신뢰하지 않는 경향을 보인다. 이는 신호 이론(Signaling Theory) 내에서 다양한 ‘시장 지위 변수’들의 이질적인 해석 프레임을 보다 정교하게 분류할 필요성을 제공한다.
넷째, 본 연구는 비정형성(atypicality)의 성과 효과가 산업 맥락에 따라 달라질 수 있음을 확인했다는 점에서 기존 문헌과 차별화된다. Wei et al.(2022)의 크라우드펀딩과 같이 소비자의 금전적 위험이 존재하는 환경에서 역 U 의 패턴을 발견한 것과 달리, 본 연구는 감각적 보상과 창의적 자극이 중요한 음악 경험재 시장에서는 높은 수준의 비정형성이 긍정적 평가로 이어질 수 있음을 보여주었다. 이는 비정형성 효과가 보편적 규칙이 아니라 시장 맥락에 따라 다른 양상을 보이는 조건부 효과임을 확인할 수 있다.
5.3 실무적 및 전략적 시사점
본 연구의 발견은 급변하는 글로벌 음악 시장에서 활동하는 K-pop 엔터테인먼트 기업과 아티스트에게 다음과 같은 구체적인 전략적 통찰을 제공한다.
첫째, K-pop 엔터테인먼트 기업들은 음향적 측면에서 아티스트의 성장 단계를 고려한 단계별 포지셔닝 전략(phased positioning strategy)을 수립해야 한다. 시장 진입 및 성장기(신인 아티스트) 즉, 이 단계의 최우선 목표는 ‘정당성 확보’이다. 따라서 모호한 음악적 시도보다는 특정 장르의 문법을 완벽하게 소화하여 높은 완성도를 보여주는 전략(낮은 비정형성)이 효과적이다. 이를 통해 핵심 팬덤을 구축하고 시장에 자신의 역량을 증명하여, 향후 혁신을 위한 기반 자산을 축적해야 한다. 성숙기 및 시장 선도기(기성 아티스트) 즉, 이미 확보한 시장 지위와 팬덤은 단순한 성공의 지표가 아니라, 미래를 위한 가장 중요한 ‘전략적 자산’이다. 이들은 현재의 성공 공식에 안주하는 대신, 자신의 ‘혁신을 위한 자격’을 적극적으로 활용하여 과감한 장르적 실험을 감행해야 한다. 즉, 일정 수준 이상의 경력과 인지도를 확보한 아티스트는 기존 성공 공식을 반복하기보다, 높은 비정형성을 활용한 사운드 실험을 통해 혁신적 포지셔닝을 강화하는 것이 효과적일 수 있다. 이는 브랜드의 노후화를 막고 창의적 리더십을 유지하며, 아티스트의 생명력을 연장하는 핵심적인 동력이 될 것이다.
또한, 본 연구의 결과는 강력한 팬덤을 보유한 아티스트의 경우, 음악이 장르적으로 다소 정형적이거나 반대로 실험적인 경우에도 일정 수준의 시장 성과가 안정적으로 유지될 가능성이 높음을 시사한다. 이러한 맥락에서 거대 팬덤은 아티스트의 음악적 시도를 시장 실패로부터 보호하는 완충 장치로 작용할 수 있으며, 그 결과 높은 비정형적 시도가 추가적인 성과로 이어질 필요성은 상대적으로 낮아질 수 있다.
둘째, K-pop 과 같은 글로벌 콘텐츠의 인기도와 확산은 내재적 특성뿐만 아니라 이를 유통하는 플랫폼 기업의 알고리즘 설계와 큐레이션에 크게 영향을 받는다. 따라서 플랫폼 기업들은 알고리즘 큐레이션에서 장르 다양성 및 신인 아티스트의 비정형적 시도를 지원하는 전략이 필요하다. 구체적으로 플랫폼 추천 알고리즘의 비정형성 분포를 반영하여 다양한 장르 실험이 가능한 창작 생태계를 조성해야 한다. 또한 플랫폼 기업은 신인 아티스트의 실험적 시도를 적절히 보완하기 위해 ‘혁신 트랙’ 또는 ‘신인 큐레이션’ 같은 전용 섹션을 만들어 초기 청취를 전략적으로 유도할 수 있다. 다만, 이러한 비정형적 시도는 신인 아티스트가 독자적으로 수행할 경우 ‘실패’나 ‘미숙함’으로 오인될 위험이 크기 때문에, 엔터 기업은 사전 시장 테스트, 파일럿 곡 발매, 공동 프로듀싱, 기존 장르 코드의 부분적 유지 등과 같은 무리한 실험이 아니라, 작은 규모에서 안전하게 시도해보고 점차 확장해 나갈 수 있는 체계를 마련하는 것이 중요하다. 즉, 리스크를 완화한 구조적 지원을 통해 창의성이 긍정적 평가로 연결되도록 하는 전략적 접근이 필요하다. 이를 통해 플랫폼 기업들은 차별화된 문화적 가치 창출에 기여할 수 있을 것이다.
셋째, K-pop 엔터 기업은 단순히 팬덤 규모에만 의존한 혁신 전략에서 벗어나, 아티스트의 커리어 구축과 평판 관리에 더 집중해야 한다. 팬덤이 크더라도 음악적 실험이 항상 긍정적인 반응을 얻는 것은 아니기 때문에, 장기적인 관점에서 신뢰 기반을 구축하는 전략이 필수적이다.
5.4 연구의 한계 및 향후 연구 방향
본 연구는 위와 같은 기여에도 불구하고 몇 가지 명확한 한계를 가지며, 이는 미래 연구를 위한 중요한 출발점이 된다. 첫째, 본 연구의 횡단면 데이터 분석은 변수 간의 인과관계를 명확히 규명하는 데 한계를 가진다. 향후 아티스트 고정효과 모델을 적용하거나, 특정 이벤트(예: 대형 엔터테인먼트 기업과의 계약)를 활용한 준실험적 설계(quasi-experimental design)를 통해 내생성(endogeneity) 문제를 통제하고 인과관계를 보다 엄밀하게 분석할 필요가 있다 (Angrist and Pischke, 2009).
둘째, 비정형성의 측정이 음향적 특성에 국한되었다. 음악의 독창성은 가사, 비주얼 콘셉트, 아티스트 서사 등 복합적인 요소에 의해 형성된다. 자연어 처리(NLP)를 통한 가사 분석, 컴퓨터 비전을 활용한 뮤직비디오 분석 등을 결합하여 ‘다중양식 비정형성(multimodal atypicality)’을 측정하는 통합적 연구가 이루어진다면, 문화 상품의 차별화 전략을 훨씬 더 깊이 있게 이해할 수 있을 것이다. 본 연구는 K-팝 성공의 음향적 특성을 정량적으로 분석한 기초 연구이며, 가사·비주얼·퍼포먼스·문화 서사 등 비음향적 요인의 영향을 다루지 못하였다. 이들은 K-팝의 글로벌 성공을 이해하는 데 중요한 축이므로, 향후 연구에서 다중양식(multi-modal) 비정형성을 통합적으로 분석할 필요가 있다.
셋째, K-팝이라는 특정 산업의 맥락을 고려해야 한다. K-팝 산업의 독특한 팬덤 문화와 제작 시스템이 본 연구의 결과를 강화했을 수 있다. 따라서 본 연구에서 발견된 U 자형 관계와 시장 지위의 조절 효과가 다른 음악 장르나 영화, 게임 등 타 문화 산업에서도 동일하게 나타나는지 비교 분석하는 연구는 이론의 일반화 가능성을 검증하는 데 중요할 것이다. 마지막으로, 본 연구가 제시한 심리적 메커니즘(인지적 유창성, 위험 인식 등)을 직접 검증하기 위한 실험 연구를 제안한다. 통제된 환경에서 소비자 반응을 직접 측정함으로써, 본 연구가 발견한 거시적 패턴의 미시적 원인을 규명할 수 있을 것이다.
넷째, 본 연구에서 사용한 팬덤 규모(fanbase size)는 Spotify 아티스트 팔로워 수를 기반으로 측정되었다. 이는 트랙 인기도의 상승이 팔로워 증가로 이어지는 내생성(endogeneity) 가능성을 내포한다. 본 연구에서는 팬덤 규모를 인과효과 추정을 위한 독립 변수가 아니라, 장르 비정형성과 시장 성 과 간의 관계가 아티스트의 시장 지위에 따라 어떻게 달라지는지를 살펴보기 위한 조절 요인(moderator)으로 사용하여 해석 범위를 제한하였다. 따라서 향후 연구에서는 보다 엄밀한 인과적 추정을 위해 내생성을 정교하게 보완할 필요가 있다.
마지막으로 본 연구는 K-팝 트랙의 음향적 장르 비정형성이 시장 성과와 어떠한 관계를 갖는지를 실증적으로 분석하였으나, 여기서 사용된 비정형성 지표는 Spotify 의 음향 피처를 기반으로 산출된 음향적 차별성(sound-based differentiation)을 의미하며, 이를 곧바로 소비자가 직접 지각하는 주관적 비정형성(perceived atypicality)과 동일시하기엔 한계가 있다. Spotify 의 음향 피처가 대규모 청취 행동 데이터를 반영한 점(i.e. 청취자가 실제로 음악을 어떻게 느끼고 구분하는지를 기반으로 구성된 특성)에서 일정 수준의 인지적 연관성을 기대할 수는 있으나, 청취자의 인식 구조와의 정확한 대응 관계를 검증하는 것은 본 연구의 범위를 넘어서는 과제로 남아 있다. 따라서 향후 연구에서는 청취자 실험, 설문 기반 인지 평가, 또는 multi-modal 데이터(가사·비주얼·퍼포먼스 요소 등)와의 결합을 통해 음향 기반 비정형성과 소비자 지각 간의 인과적·인지적 메커니즘을 보다 정교하게 검증할 필요가 있다.
Appendix: Specific Track Examples by Atypicality Level
1. Low Atypicality (Bottom 10%)
2. Medium Atypicality (Near Mean 0)
3. High Atypicality (Top 10%)
플랫폼 음향 데이터 기반 K-pop 장르 비정형성과 인기도의 U 자형 관계: 아티스트 지위의 조절효과를 중심으로

Table 1 스포티파이 9가지 음향 특성
| Track's Audio Features | Description | Example1) |
|---|---|---|
| Danceability | 해당 트랙이 얼마나 춤추기 좋은지를 나타내는 지표. | 0.585 |
| Energy | 음악이 갖는 강도, 활기, 공격성을 나타내는 지표. | 0.842 |
| Loudness | 곡의 전체적인 음량 크기 (데시벨, dB 단위로 측정). | -5.883 |
| Speechiness | 트랙에 사람의 말(음성)이 얼마나 포함되어 있는지. | 0.0556 |
| Acousticness | 곡이 어쿠스틱 악기 기반인지를 나타냄. | Range: 0 - 1, 0.00242 |
| Instrumentalness | 곡이 보컬 없이 기악 중심인지를 측정. | 0.00686 |
| Liveness | 곡에 라이브 공연의 분위기가 포함되어 있는 정도. | 0.0866 |
| Valence | 곡이 얼마나 밝고 긍정적인 감정을 주는지 측정. | Range: 0 - 1, 0.428 |
| Tempo | 음악의 박자 속도 (BPM, beats per minute). | 118.211 |
출처: developer.spotify.com
1) “Illustrative Value” 열에 제시된 값들은 Spotify for Developers Web API 공식 문서에서 각 음향 특성의 의미를 설명하기 위해 제공된 예시 값임.
Table A Low Atypicality Examples (Genre Conformity)
| Artist | Track Title | Year | Atypicality (Z) | Popularity (Log) |
|---|---|---|---|---|
| LeeHi | ONLY | 2021 | -1.116 | 4.37 |
| BTS | Boy With Luv (feat. Halsey) | 2019 | -1.268 | 4.36 |
| Stray Kids | MANIAC | 2022 | -1.200 | 4.33 |
Table B Medium Atypicality Examples (Stuck in the Middle)
| Artist | Track Title | Year | Atypicality (Z) | Popularity (Log) |
|---|---|---|---|---|
| NAYEON | POP! | 2022 | 0.069 | 4.29 |
| BLACKPINK | PLAYING WITH FIRE | 2016 | 0.059 | 4.29 |
| SOYOU | Some (feat. Lil Boi) | 2014 | 0.076 | 4.25 |
Table C High Atypicality Examples (Genre Innovation)
| Artist | Track Title | Year | Atypicality (Z) | Popularity (Log) |
|---|---|---|---|---|
| TWICE | What is Love | 2018 | 1.534 | 4.32 |
| Stray Kids | Thunderous | 2021 | 1.657 | 4.29 |
| New Jeans | Hurt | 2022 | 2.108 | 4.29 |
